Sucht man bei Wikipedia unter dem Stichwort Kurvengetriebe nach Bewegungsgesetzen, so findet man:
Bewegung im physikalischen Sinn ist die Änderung des Ortes eines Beobachtungsobjekts mit der Zeit.
Sir Isaac Newton formulierte 1687 drei grundlegende Bewegungsgesetze.
Vereinfacht:
1) Kräftefreie Körper bleiben in Ruhe oder bewegen sich mit konstanter Geschwindigkeit
2) Kraft gleich Masse mal Beschleunigung
3) Kraft gleich Gegenkraft
Bewegungsgesetze sind Gesetzmäßigkeiten, nach denen sich Körper bewegen.

Bei den Kurvengetrieben werden die Bewegungen tatsächlich "gesetzt", denn man gibt die gewünschten Bewegungen vor, um die Kurvenbahnen als Ergebnis zu erhalten.
Im deutschsprachigen Raum ist die VDI-Richtlinie 2143, speziell Blatt 1 (Oktober 1980), über Jahrzehnte hinweg so etwas wie die "Bibel" für Kurventechniker gewesen. Unser Firmengründer Günther Nolte gehörte dem Ausschuss an, der die VDI-Richtlinie 2143 aufgestellt hat.
Diese Richtlinie ist wie eine Formelsammlung für Bewegungsgesetze zu lesen. Sie sagt:
"Die Bewegungsgesetze sind analytische Funktionen, welche die Relativbewegung zweier Getriebeglieder beschreiben, im Normalfall die Abtriebsbewegung von Kurvengetrieben in Abhängigkeit von der Antriebsbewegung."
Bei Kurven beschreiben Bewegungsgesetze die Charakteristik der Abhängigheit der Ausgangsgröße (Schwingwinkel, Schlittenweg usw.) von der Eingangsgröße (z.B. Kurvendrehwinkel), bezogen auf einen einzelnen Bewegungsabschnitt. Analog gilt das bei Servoantrieben für den Master als Eingangsgröße und den Slave als Ausgangsgröße.
"Charakteristisch" meint hier, dass die Übertragungsfunktion des Kurvengetriebes normiert wird.
Bewegungsgesetze sind normierte Übertragungsfunktionen (“NÜF”).
Die Normierung besteht darin, dass der Antriebsparameter z in einem betrachteten Bewegungsabschnitt den Wertebereich 0 bis 1 durchläuft, und dass für die normierte Übertragungsfunktion f in diesem Abschnitt gilt: f(0) = 0 und f(1) = 1.
Bewegungsgesetze bilden Bewegungscharakteristiken ab und entscheiden maßgeblich darüber, welche Kräfte, Momente, Pressungen und Eigenschwingungen in einem Kurvengetriebe oder Mechanismus auftreten, oder eben auch nicht auftreten.
Über die Auswahl und Feingestaltung der Bewegungsgesetze haben Sie also Einfluss auf die Performance Ihrer Maschinen.
Deshalb ist es aus unserer Sicht sehr wichtig, viele Bewegungsgesetze und Methoden zur Feingestaltung von Bewegungen zu haben, um das Potenzial der Kurven- und Servo-gesteuerten Maschinen voll auszunutzen.
Als die VDI-Richtlinie 1980 erschien, bestand "Bewegungsdesign" in den Firmen häufig darin, die Modifizierte Sinuslinie oder das Polynom 5. Grades als Werksstandard vorzugeben.
Das reicht heute nicht mehr!
Unsere Software OPTIMUS MOTUS bietet sehr viele Bewegungsgesetze an, mehr und vielfältiger, als wir sonst irgendwo auf einem Haufen gesehen haben. Im übernächsten Abschnitt sind diese Bewegungsgesetze aufgelistet.
Hinter etlichen dieser Punkte verbirgt sich jedoch nicht nur ein einzelnes Bewegungsgesetz, sondern eine ganze Gestaltungsmethodik. Diese Methodiken, quasi gestaltbare Bewegungsgesetze, machen das Bewegungsdesign erst richtig leistungsfähig.
OPTIMUS MOTUS verpackt die Bewegungsgesetze und das Bewegungsdesign dabei in einen einfach zu handhabenden grafischen Editor, der die eigentliche Komplexität der Bewegungsgestaltung weitestgehend verbirgt.
Direkt zu ...
zur Startseite von Nolte NC-Kurventechnik GmbH
> English version of this page
Zur Planung werden Bewegungsabläufe für Kurven- oder Servosteuerungen schematisch in Form von Bewegungsplänen dargestellt:
Bei komplexen Bewegungssteuerungen enthalten Bewegungspläne viele solcher Schema-Zeilen, die über die Zeit oder einen gemeinsamen Antriebsparameter synchronisiert werden. Wir verwenden den Zeitparameter phi für diese Synchronisation.
Bei der Gestaltung der Bewegungen muss man natürlich irgendwann festlegen, nach welcher Bewegungscharakteristik, welchem Bewegungsgesetz die Übergänge ablaufen sollen. Dann entsteht aus der schematischen Darstellung ein konkretes Weg-Zeit-Diagramm, das Bewegungsdiagramm:
Ein normiertes Bewegungsgesetz f(z) beschreibt in einem Getriebe mit gestaltbarer Übertragungsfunktion die Abhängigkeit der Ausgangsgröße von der Eingangsgröße in einem Bewegungsabschnitt.
Die Normierung besteht darin, dass der Antriebsparameter z in diesem Abschnitt von 0 bis 1 läuft, und dass gilt: f(0) = 0 und f(1) = 1.
Anfang bzw. Ende eines Bewegungsabschnitt werden als "Grenzlagen" bezeichnet. Das sind die Zeitpunkte zwischen zwei Bewegungsabschnitten.
f(z) = Normiertes Bewegungsgesetz, normierte Wegfunktion, normierte Übertragungsfunktion
f'(z) = 1. Ableitung nach dem normierten Antriebsparameter z (normierte Geschwindigkeit, normiertes Bewegungsgesetz 1. Ordnung)
f''(z) = 2. Ableitung nach dem normierten Antriebsparameter z (normierte Beschleunigung, normiertes Bewegungsgesetz 2. Ordnung)
f'''(z) = 3. Ableitung nach dem normierten Antriebsparameter z (normierte Ruckfunktion, normiertes Bewegungsgesetz 3. Ordnung)
f‘(z) • f‘‘(z) = Momentenverlauf (in Bezug auf träge Abtriebsmasse) im normierten Bewegungsgesetz
Anmerkung:
f’ • f’’ ist ein eigentlich die massebezogene Leistung in normierter Form.
Mit
P = M • w = m • v • a = F • v
für eine träge Masse m ist
M ~ v • a ~ f’ • f’’
bei konstanter Antriebswinkelgeschwindigkeit w und konstanter Masse m.
Dann entspricht der Verlauf von f’ • f’’ qualitativ dem Antriebsmomentenverlauf M am Antrieb.
Die VDI-Richtlinie 2143 definiert für die Grenzlagen vier Bewegungszustände:
R = Rast (f'=0 und f''=0)
U = Umkehr (f'=0)
G = Gerade (f''=0)
B = Bewegung (f' und f'' beliebig)
Bewegungsgesetze beschreiben einen Übergang von einem Anfangs-Bewegungszustand in einen End-Bewegungszustand. Ein Bewegungsgesetz vom Typ R-R beginnt beispielsweise mit einem Rastzustand (f’(0)=0 und f’’(0)=0) und endet in einem Rastzustand (f’(1)=0 und f’’(1)=0). Alle R-R-Bewegungsgesetze sind in einem Kapitel der VDI-Richtlinie 2143 zusammengefasst. Andere Kapitel beschreiben Übergänge R-U (Rast-in-Umkehr), U-U (Umkehr-in-Umkehr), B-B (Bewegung-in-Bewegung) usw.
Setzt man Bewegungsabschnitte unsachgemäß hintereinander, können Sprünge in der Geschwindigkeit, sogenannte “Stöße”, oder in der Beschleunigung, sogenannte “Rucke” entstehen.
Ein Stoß ist ein Geschwindigkeitssprung. Stöße sind sehr schädlich für die Mechanik, auch bei relativ kleinen Taktzahlen. Sie bewirken Verschleiß, Lärm und bei Servoantrieben große Schleppfehler.
Ein Ruck ist ein Beschleunigungssprung. Der Wert der Ruckfunktion f‘‘‘(z) ist dabei unendlich groß. Rucke bewirken in der Regel störende Eigenschwingungen im Mechanismus bei mittleren und besonders bei höheren Taktzahlen. Generell besteht in der Kurventechnik die Grundforderung, dass Bewegungen ruckfrei gestaltet werden sollten.
Rucke können im Ausnahmefall akzeptabel sein, wenn die Bewegungsgestaltung an anderer Stelle entscheidende Vorteile hat und die Mechanik so steif ist, dass keine Eigenschwingungen zu befürchten sind.
Stöße und Rucke auf Grenzlagen vom Typ U, G oder B vermeidet man mit Hilfe der Randwertanpassung.
Gebräuchlich ist die in der VDI-Richtlinie 2143 als Transformation beschriebene Wendepunktsverschiebung mit dem Parameter lambda, um Bewegungsabschnitte zu variieren, siehe das folgende Bild.
lambda bezeichnet den Antriebsparameter z, bei dem das Vorzeichen der Beschleunigung wechselt. Bei einem nicht transformierten Bewegungsgesetz ist lambda=0.5. Oft sind die Beschleunigungs- und die Verzögerungsphase eines untransformierten Bewegungsgesetzes gleichartig. Dann ist es “symmetrisch”.
Für die Auswahl eines für die Bewegungsaufgabe geeigneten Bewegungsgesetzes werden oft die Kennwerte des Bewegungsgesetzes herangezogen (siehe Bild):
CMdyn = dynamischer Momentenkennwert
CMstat = statischer Momentenkennwert
Ca = Kennwert der normierten Beschleunigung
Ca* = Kennwert der normierten Beschleunigung
Cv = Kennwert der normierten Geschwindigkeit
Cj = Kennwert der normierten Ruckfunktion
CMeff = Kennwert des normierten Effektivmoments
Caeff = Kennwert der normierten Effektivbeschleunigung
Es ist das Bewegungsgesetz zu bevorzugen, dessen Kennwerteprofil am besten zu den dynamischen Eigenschaften der Mechanik passt.
Bei einem Servoantrieb mit sehr starrer Ankopplung der Last funktioniert zum Beispiel das Polynom 8. Grades ganz gut, oder auch das Modifizierte Beschleunigungstrapez.
Gilt es, Eigenschwingungen zu vermeiden, schneidet das Polynom 7. Grades gut ab.
Etwas weiter im Text finden Sie Tabellen mit Bewegungsgesetz-Kennwerten.
Die Software OPTIMUS MOTUS bietet folgende Bewegungsgesetze an:
1 Lineare Rast
2 Zirkulare Rast
3 Geneigte Sinuslinie
4 Polynom 5. Ordnung
5 Modifiziertes Beschleunigungstrapez
6 Modifizierte Sinuslinie
7 Einfache Sinuslinie
8 Allgemeine Geneigte Sinuslinie
9 Harmonisches Bewegungsgesetz
10 Polynom 5. Ordnung mit Gerade
11 Polynom 11. Ordnung
12 Quadratische Parabel
13 Modifizierte Sinuslinie G-G
14 Sinus-Gerade-Kombination
15 Modifiziertes Beschleunigungstrapez R-U
16 Harmonische Kombination R-U
17 Harmonische Kombination G-U
18 Polynom 5. Ordnung B-B
19 Gerade
20 Modifiziertes Beschleunigungstrapez U-U
21 Spline1
22 kubische Splines
23 Beschleunigungspolygon Typ A-C
24 Modifizierte Harmonische Kombination Typ A
25 Modifizierte Harmonische Kombination Typ B
26 Trigonometrische cos-Splines
27 Gesetz M1
28 Polynom 8. Ordnung
29 Beschleunigungspolygon allgemein
30 geräuscharme Cosinuskombination
31 Polynom 3. Ordnung
32 Polynom 4. Ordnung
33 Polynom 6. Ordnung
34 Polynom 7. Ordnung
35 Polynom max. 20. Ordnung mit Koeffizienten
36 Polynom max. 20. Ordnung mit Bedingungen
37 Wertetabelle
38 Spiegelsinuide
39 Fourierreihe
40 Konstanter Wert 1
41 Modifizierte Sinuslinie mit Geradeneinschub
42 Synchronlauf
43 Modifizierte Harmonische Kombination Typ C
44 Modifizierte Harmonische Kombination Typ D
45 Tabelle für Rast-in-Rast-Übergänge
46 Allgemeine Sinuskombination
47 Doppelte Harmonische
48 Energiesparpolynom 1
49 Energiesparpolynom 2
50 Polynom 15. Ordnung
51 Freudenstein 1-3
52 Gutman F-3
53 Berzak D
54 Berzak E
55 Peisekah 11. Ordnung
56 Polynomsplines
57 Polynom 7. Grades Typ A
58 Polynom 13. Grades
59 HS-Bewegungsgesetz RR
60 YMS-3
61 YCMV-3
62 YHP-5
63 SMS-3
64 SMCV-3
65 SMT-3
Manche dieser Bewegungsgesetze sind durchgehend definiert, d.h. mit einem Term für den gesamten Wertebereich von z. Andere Bewegungsgesetze sind aus Teilstücken zusammengesetzt und somit ihrerseits abschnittsweise definiert.
Die meisten der aufgelisteten Bewegungsgesetze haben keine weiteren Parameter, bzw. nur den Wendepunktsparameter lambda. Andere haben jedoch einige oder sogar viele zusätzliche Parameter, so dass die Bezeichnung “Bewegungsgesetz” eigentlich nicht mehr passt. Diese müssten eher als “Bewegungsgestaltungsmethode” benannt werden.
Die detaillierte Diskussion all dieser Bewegungsgesetze würde hier definitiv den Rahmen sprengen.
Einige Bewegungsgesetze sind aber so grundlegend, dass wir sie hier doch ausführlicher beschreiben wollen:
Es soll nicht der Eindruck entstehen, dass diese Bewegungsgesetze besonders “gut” wären. Sie gehören einfach zum Grund-Repertoire jedes Kurventechnikers und verdienen deshalb eine ausführliche Beschreibung.
Um Maschinen schnell zu machen, greifen wir natürlich tiefer in die Trickkiste ;-)
Bei Fragen zu einzelnen Bewegungsgesetzen rufen Sie uns bitte an!
Gerne teilen wir unser Know How mit Ihnen im Rahmen unserer Seminare zu Kurvenauslegung, Bewegungsdesign und Bewegungsgesetzen im Speziellen.
Zum unmittelbaren Vergleich der Bewegungsgesetze für den Übergang Rast-in-Rast (R-R) stellen wir hier eine Tabelle mit Kennwerten zur Verfügung. Die Nummer am Anfang jeder Zeile ist die Bewegungsgesetznummer aus OPTIMUS MOTUS (siehe oben):
An Hand dieser Kennwerte kann man vergleichen, wie sich Geschwindigkeit (Cv), Beschleunigung (Ca, Caeff), Ruckfunktion (Cj) und dynamisches Kurven-Antriebsmoment (Cmdyn, Cmeff) zweier Bewegungsgesetze bei gleichem Hub und gleicher Übergangszeit zueinander verhalten.
Dieser Vergleich ist aber nicht ganz fair, wenn man - wie in der Praxis meist zulässig - kleine Toleranzen ausnutzen darf.
Deshalb haben wir hier noch eine zweite Tabelle mit den Kennwerten für Cv, Ca und Cmdyn angegeben für den Fall, dass am Anfang des definierten Bewegungsabschnitts schon 0,5% des Hubes durchlaufen sein darf und am Ende des Abschnitts noch 0,5% Restweg übrig sein darf. Bei einem Hub von 100mm entspricht das einer Toleranz von 0,5mm, das ist in der Praxis sehr oft zulässig. Diese Tabelle berücksichtigt also eine Bereichserweiterung (auch Hubzeit-Verlängerung genannt).
FaktorPhi ist der Faktor, um den der Bewegungsabschnitt auf der Zeitachse gedehnt werden kann, bis die Toleranz ausgenutzt wird. Das ist auch der Faktor, um den man das Kurvengetriebe schneller laufen lassen kann, bis die gleichen dynamischen Belastungen auftreten wie im Fall ohne Bereichserweiterung.
Die Kennwerte Cv, Ca und Cmdyn der folgenden Tabelle entsprechen den Geschwindigkeits-, Beschleunigungs- und Momentenwerten des bereichserweiterten Bewegungsabschnitts bezogen auf die zeitliche Länge des nicht-bereichserweiterten Abschnitts. Durch Vergleich mit der ersten Tabelle sieht man also direkt, wie Geschwindigkeit, Beschleunigung und dynamisches Moment durch die Hubzeit-Verlängerung zurückgehen.
Eins der bekanntesten Bewegungsgesetze überhaupt ist die Geneigte Sinuslinie nach Helling-Bestehorn.
Sie wird auch
genannt. Wir verwenden sie nicht häufig, wegen der hohen Maximalbeschleunigung. In der VDI-Richtlinie ist sie das "sanfteste" R-R-Bewegungsgesetz. Wenn wir aber weiche Bewegungen gestalten wollen, nutzen wir lieber andere, wirkungsvollere Methoden.
Das folgende Bild zeigt rechts die Verläufe von Weg, Geschwindigkeit, Beschleunigung, Ruckfunktion und dynamischem Antriebsmoment des normierten Bewegungsgesetzes, inklusive der Kennwerte.
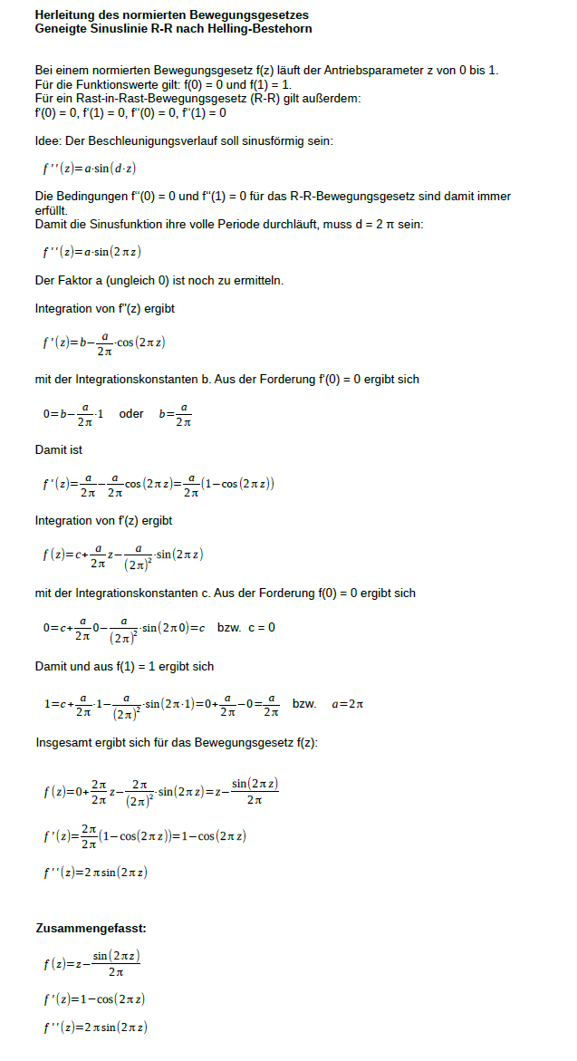
Die geneigte Sinuslinie kann folgendermaßen hergeleitet werden:
Ein sehr bekanntes R-R-Bewegungsgesetz ist das Polynom 5. Grades, auch Polynom 5. Ordnung oder 3-4-5-Polynom genannt.
Es war immer schon beliebt bei Kurvenberechnern und ist auch in der Welt der Servoantriebe sehr beliebt. Hauptsächlicher Vorzug ist, dass es einfach herzuleiten ist und im Fall B-B allgemein anwendbar.
Das Polynom 5. Grades ist in keinem Kriterium sehr gut, aber auch in keinem sehr schlecht. Es hat ein ausgewogenes Kennwerteprofil und könnte als "Zehnkämpfer" unter den Bewegungsgesetzen bezeichnet werden.
Das folgende Bild zeigt rechts die Verläufe von Weg, Geschwindigkeit, Beschleunigung, Ruckfunktion und dynamischem Antriebsmoment des normierten Bewegungsgesetzes, inklusive der Kennwerte.
Hier die Herleitung der Polynoms 5. Grades R-R:
Das Modifizierte Beschleunigungstrapez oder "Trapezoid" zeichnet sich bei Ruckfreiheit durch seine kleine Maximalbeschleunigung aus.
Es wird in der Servotechnik verwendet, um sowohl das maximale als auch das effektive Antriebsmoment klein zu halten. Bei mechanischen Kurven verbessert es den Krümmungsradius und hilft, Unterschnitt zu vermeiden.
Das folgende Bild zeigt rechts die Verläufe von Weg, Geschwindigkeit, Beschleunigung, Ruckfunktion und dynamischem Antriebsmoment des normierten Bewegungsgesetzes, inklusive der Kennwerte.
Die Modifizierte Sinuslinie nach Neklutin zeichnet sich durch relativ kleine Werte für Geschwindigkeit, Beschleunigung und dynamisches Antriebsmoment aus, weist aber hohe Ruckfunktionswerte auf.
Es wird sehr häufig, auch mit Geradeneinschüben, bei Schrittgetrieben verwendet.
Wegen der hohen Ruckfunktionswerte neigen solche Schrittgetriebe aber zum Nachschwingen in der Rast. Will man mit einem Schrittgetriebe elastische Mechanismen mit kleiner Eigenfrequenz bewegen, zum Beispiel lange, schwere Ketten, sollte man andere Bewegungsgesetze bevorzugen.
Ein einfaches Bewegungsgesetz ist das Polynom 3. Grades. Es eignet sich für stoßfreie (tangentiale) Übergänge von einem Stillstand in einen anderen, ist wegen der Beschleunigungsrandwerte ungleich 0 aber ruckbehaftet.
Diese Rucke sind tolerierbar, wenn die bewegte Mechanik sehr steif ist. Dann besticht das Polynom 3. Grades durch sehr kleine Leistungsanforderungen bzw. - bei gleichmäßigem Antrieb - Antriebsmomente.
Die Herleitung dazu:
Bei normierten Bewegungsgesetzen f(z) läuft der Antriebsparameter z von 0 bis 1.
Symmetrische normierte Bewegungsgesetze fs mit der Eigenschaft fs(0.5) = 0.5 (halber Weg nach halber Zeit) können einer Transformation mit einem Parameter lambda unterworfen werden, die man Wendepunktsverschiebung nennt:
Der Wendepunktsparameter lambda liegt zwischen 0 und 1.
Bei lambda = 0.5 liegt ein symmetrisches Bewegungsgesetz vor. Dies ist der Standard-Einsatzfall eines Bewegungsgesetzes.
Mit der Wendepunktsverschiebung kann die Form einer Beschleunigungskurve verändert werden. Verschiebt man den Wendepunkt nach hinten (lambda > 0.5), so sinkt die Maximalbeschleunigung im Bereich zwischen 0 und lambda, und die Beschleunigung steigt im Bereich von lambda bis 1.
Verschiebt man den Wendepunkt nach vorne (lambda < 0.5), so steigt die Maximalbeschleunigung im Bereich zwischen 0 und lambda, und die Beschleunigung sinkt im Bereich von lambda bis 1.
Wenn lambda sehr nah an 0 oder 1 liegt, erhält man sehr hohe Beschleunigungen. Deshalb empfehlen wir, den Wendepunkt im Bereich zwischen 0.3 und 0.7 zu halten.
Die Maximalgeschwindigkeit in einem Bewegungsabschnitt ändert sich durch die Wendepunktsverschiebung nicht.
Da sich die Wegfunktion durch die Wendepunktsverschiebung ändert, kann man diese benutzen, um einen geforderten Kontrollpunkt zu durchfahren, der nicht sehr weit vom symmetrischen Bewegungsgesetz entfernt liegt.
Durch die Verzerrung der Beschleunigung nutzt man sie auch, um den Beginn oder das Ende eines Bewegungsabschnitts sanfter zu gestalten.
Ein Beispiel für eine Wendepunktsverschiebung zeigt folgendes Bild mit dem Wendepunktsparameter lambda = 0.3:
(Service für Nutzer der Software OPTIMUS MOTUS)
Folgende Tabelle stellt dar, mit welchen allgemeineren Sinuskombinationen die bekannten Standard-Bewegungsgesetze in OPTIMUS MOTUS nachgebildet werden können, jeweils ohne Geradeneinschub und ohne Wendepunktsparameter:
Nr. 3, Geneigte Sinuslinie:
Simulierbar mit Bewegungsgesetz 9: p1 = p2 = p4 = p5 = 0.25, p3 = 0.
Simulierbar mit Bewegungsgesetz 24: c1 = c2 = 0.25, c3 = c4 = 0.5, c5 = c6 = 0.75
Simulierbar mit Bewegungsgesetz 46: c1 = c2 = 0.25, c3 = c4 = 0.5, c5 = c6 = 0.75, Typ1 = Typ2 = Typ3 = Typ4 = 2
Nr. 5, Modifiziertes Beschleunigungstrapez:
Simulierbar mit Bewegungsgesetz 24: c1 = 0.125, c2 = 0.375, c3 = c4 = 0.5, c5 = 0.625, c6 = 0.875
Simulierbar mit Bewegungsgesetz 46: c1 = 0.125, c2 = 0.375, c3 = c4 = 0.5, c5 = 0.625, c6 = 0.875, Typ1 = Typ2 = Typ3 = Typ4 = 2
Nr. 6, Modifizierte Sinuslinie:
Simulierbar mit Bewegungsgesetz 9: p1 = 0.125, p2 = 0.375, p3 = 0, p4 = 0.375, p5 = 0.125
Simulierbar mit Bewegungsgesetz 24: c1 = c2 = 0.125, c3 = c4 = 0.5, c5 = c6 = 0.875
Simulierbar mit Bewegungsgesetz 46: c1 = c2 = 0.125, c3 = c4 = 0.5, c5 = c6 = 0.875, Typ1 = Typ2 = Typ3 = Typ4 = 2
Nr. 7, Einfache Sinuslinie:
Simulierbar mit Bewegungsgesetz 9: p1 = 0, p2 = 0.5, p3 = 0, p4 = 0.5, p5 = 0
Simulierbar mit Bewegungsgesetz 24: c1 = c2 = 0, c3 = c4 = 0.5, c5 = c6 = 1
Simulierbar mit Bewegungsgesetz 46: c1 = c2 = 0, c3 = c4 = 0.5, c5 = c6 = 1, Typ1 = Typ2 = Typ3 = Typ4 = 2
Nr. 12, Quadratische Parabel:
Simulierbar mit Bewegungsgesetz 24: c1 = 0, c2 = c3 = c4 = c5 = 0.5, c6 = 1
Simulierbar mit Bewegungsgesetz 46: c1 = 0, c2 = c3 = c4 = c5 = 0.5, c6 = 1, Typ1 = Typ2 = Typ3 = Typ4 = 1
Nr. 23, Beschleunigungspolygon Typ A:
Simulierbar mit Bewegungsgesetz 46: c1 = 0.05, c2 = 0.25, c3 = c4 = 0.5, c5 = 0.75, c6 = 0.95, Typ1 = Typ2 = Typ3 = Typ4 = 1
Geradeneinschübe mit Bewegungsgesetz Nr. 9:
p3 = (Geradeneinschub in % Zeitanteil) / 100
Die Parameter p1, p2, p4 und p5 aus dem Bewegungsgesetz ohne Geradeneinschub entsprechend obenstehender Tabelle werden mit dem Faktor (1-p3) multipliziert.
Geradeneinschübe mit den Bewegungsgesetzen Nr. 24, 25, 43, 44 und 46:
Ci* = Parameter aus dem Bewegungsgesetz ohne Geradeneinschub entsprechend obenstehender Tabelle
Ci = Parameter aus dem Bewegungsgesetz mit Geradeneinschub
g = c4 - c3 = (Geradeneinschub in % Zeitanteil) / 100
c1 = c1* • (1 - g)
c2 = c2* • (1 - g)
c3 = c3* • (1 - g)
c4 = 1 - (1 - c4*) • (1 - g)
c5 = 1 - (1 - c5*) • (1 - g)
c6 = 1 - (1 - c6*) • (1 - g)
(Service für Nutzer der Software OPTIMUS MOTUS)
Außerhalb der Software OPTIMUS MOTUS wird für eine bestimmte Familie von Sinus-Kombinationen die Bezeichnung "scca-Bewegungsgesetz" verwendet.
Solche Bewegungsgesetze können in OPTIMUS MOTUS mit dem Bewegungsgesetz Nr. 24 (Modifizierte Harmonische Kombination Typ A) nachgebildet werden.
Scca-Bewegungsgesetze werden durch vier Parameter a, b, c, d beschrieben, für die gilt:
a + b + c + d = 1
Davon müssen nur drei Parameter angegeben werden, da sich der vierte aus obiger Gleichung ergibt.
Bewegungsgesetz 24 (Modifizierte Harmonische Kombination Typ A in OPTIMUS MOTUS) verwendet statt dessen die normierten Zeitparameter c1, c2, c3, c4, c5, c6.
Die Werte dieser Parameter ci können aus den scca-Parametern folgendermaßen errechnet werden:
c1 = a/2
c2 = c1 + b/2 = a/2 + b/2
c3 = c2 + c/2 = a/2 + b/2 + c/2
c4 = c3 + d = 1 – a/2 – b/2 – c/2
c5 = c4 + c/2 = 1 – a/2 – b/2
c6 = c5 + b/2 = 1 – a/2
Mit einem Asymmetriefaktor e (= Wendepunktsparameter lambda) kann das symmetrische Bewegungsgesetz nachträglich modifiziert werden.
Das symmetrische Bewegungsgesetz ist durch e = lambda = 0.5 gekennzeichnet.
Abhängig von e verändern sich die Parameter c1..c6 des symmetrischen Bewegungsgesetz (lambda = e = 0.5) folgendermaßen für das unsymmetrische Bewegungsgesetz:
c1e = c1 · 2 · e
c2e = c2 · 2 · e
c3e = c3 · 2 · e
c4e = 1 – (1 – c4) · 2 · (1 – e)
c5e = 1 – (1 – c5) · 2 · (1 – e)
c6e = 1 – (1 – c6) · 2 · (1 – e)
Beispiele:
MS (Modifizierte Sinuslinie):
a=0.25, b=0, c=0.75 ergibt c1=c2=0.125, c3=c4=0.5, c5=c6=0.875
MSC 15 (Modifizierte Sinuslinie mit 15 % Geradeneinschub):
a=0.2125, b=0, c=0.6375 ergibt c1=c2=0.10625, c3=0.425, c4=0.575, c5=c6=0.89375
MSC 20 (Modifizierte Sinuslinie mit 20 % Geradeneinschub):
a=0.2, b=0, c=0.6 ergibt c1=c2=0.1, c3=0.4, c4=0.6, c5=c6=0.9
MSC 25 (Modifizierte Sinuslinie mit 25 % Geradeneinschub):
a=0.1875, b=0, c=0.5625 ergibt c1=c2=0.09375, c3=0.375, c4=0.625, c5=c6=0.90625
MSC 33 (Modifizierte Sinuslinie mit 33 % Geradeneinschub):
a=0.1666, b=0, c=0.5 ergibt c1=c2=0.08333, c3=0.33333, c4=0.66667, c5=c6=0.91667
MSC 50 (Modifizierte Sinuslinie mit 50 % Geradeneinschub):
a=0.125, b=0, c=0.375 ergibt c1=c2=0.0625, c3=0.25, c4=0.75, c5=c6=0.9375
MSC 66 (Modifizierte Sinuslinie mit 66 % Geradeneinschub):
a=0.08333, b=0, c=0.25 ergibt c1=c2=0.04167, c3=0.16667, c4=0.83333, c5=c6=0.95833
MT (Modifiziertes Beschleunigungstrapez):
a=0.25, b=0.5, c=0.25 ergibt c1=0.125, c2=0.375, c3=c4=0.5, c5=0.625, c6=0.875
MTC 50 (Modifiziertes Beschleunigungstrapez mit 50 % Geradeneinschub):
a=0.125, b=0.25, c=0.125 ergibt c1=0.0625, c2=0.1875, c3=0.25, c4=0.75, c5=0.8125, c6=0.9375
SH (Einfache Sinuslinie):
a=0, b=0, c=1 ergibt c1=c2=0, c3=c4=0.5, c5=c6=1
CYC (Geneigte Sinuslinie):
a=0.5, b=0, c=0.5 ergibt c1=c2=0.25, c3=c4=0.5, c5=c6=0.75
PAR (Quadratische Parabel):
a=0, b=1, c=0 ergibt c1=0, c2=c3=c4=c5=0.5, c6=1
Wir haben bei unserer Arbeit im Laufe der Jahre so viele Bewegungsgesetze für Kurven und Servoantriebe zusammengetragen, dass wir irgendwann auf die Idee gekommen sind, daraus ein Quartettspiel zu machen.

Wir spielen das wie früher das Auto-Quartett:
Am Spiel können zwei oder mehr Personen teilnehmen. Die Karten werden gemischt und gleichmäßig unter den Spielern verteilt. Jeder Spieler hält seine Karten zu einem Päckchen gestapelt so in der Hand, dass nur das oberste Blatt – und zwar nur für ihn – zu sehen ist. Der Spieler links vom Geber nennt nun eine beliebige Kenngröße seiner Karte, zum Beispiel Maximalbeschleunigung oder Geschwindigkeit.
Die Mitspieler nennen nun die entsprechenden Daten auf ihrer obersten Karte, und der Spieler, dessen Karte den besten Wert hat, gewinnt die obersten Karten aller Mitspieler und legt diese zuunterst zu seinem Päckchen. Bei Bewegungsgesetzen wird generell der niedrigste Wert als der beste angesehen, nur nicht beim Zeitstreckungsfaktor.
Besitzen zwei oder mehr Spieler Karten mit demselben besten Wert, so legen alle Spieler ihre obersten Karten in die Mitte, und die Spieler mit dem besten Wert spielen eine Entscheidungsrunde. Der Spieler, der zuvor angesagt hat, nennt wiederum eine Kennzahl; der Sieger dieser Runde gewinnt zusätzlich zu den Karten aus der Stichrunde die Karten aus der unentschiedenen Runde.
Hat ein Spieler alle Karten verloren, so scheidet er aus, und das Spiel wird von den verbleibenden Teilnehmern fortgesetzt. Sieger ist, wer zuletzt alle Karten gewonnen hat, oder wer am Ende der vereinbarten Spieldauer die meisten Karten besitzt.
Quelle der Regeln: https://de.wikipedia.org/wiki/Supertrumpf
zur Startseite von Nolte NC-Kurventechnik GmbH
Start Fachberichte Mechanismen Kinematik Software Kurvengetriebe Schrittgetriebe Servo/SPS Bewegungsdesign Fortbildung Service Kurvenberechnung Impressum Datenschutz
Begriffe Liste Kennwerte Sinuide Poly5 Trapez Quartett ModifizierterSinus Wendepunkt Sinus-Emulation scca
11/06/21
• Software OPTIMUS MOTUS ® /
DasNolte ®
• Berechnung von Kurven aller Art
• Performance-Optimierung
• Trainings und Beratung
• App- und Software-Entwicklung
• SPS-Bewegungsprogramme
Kurven, Mechanismen, Bewegungsdesign. Für schnellere Maschinen. Seit 1965.